Le 17 mars 2020 à midi, la Corse se met à l’arrêt. Les rues de l'ile deviennent méconnaissables. Les bars et restaurants ferment, les commerces baissent leur rideau, les routes se vident. La veille, Emmanuel Macron a annoncé des restrictions inédites : "Nous sommes en guerre." À partir de ce moment, chaque déplacement doit être justifié par une attestation, sous peine d’une amende de 135 euros.
La mesure prend immédiatement effet. Sur les routes, la circulation chute drastiquement. Seuls les véhicules des travailleurs indispensables – soignants, forces de l’ordre, agents de nettoyage, livreurs – continuent de sillonner l’île.
Sur l’île, l’impact est immédiat. La Corse se retrouve isolée, coupée de ses connexions habituelles. Les compagnies maritimes adaptent rapidement leurs services face aux restrictions gouvernementales. Dès le 18 mars, le trafic passager est totalement interrompu : seuls les cargos continuent d’assurer le transport de fret essentiel vers Bastia et Ajaccio. Les navires de Corsica Linea et Corsica Ferries restent à quai, vidés de leurs passagers. De nombreux Corses, bloqués sur le continent, tentent en vain de trouver un moyen de rentrer chez eux, tandis que ceux qui se trouvaient à l’étranger sont contraints d’attendre une solution de rapatriement incertaine.
Dans les airs, la situation est similaire. Air Corsica réduit drastiquement ses vols, maintenant uniquement quelques liaisons sous strictes conditions pour les déplacements indispensables, notamment sanitaires. Les aéroports d’Ajaccio et de Bastia tournent au ralenti
La veille au soir, la crainte de manquer a provoqué un afflux massif dans les grandes surfaces. Les rayons de pâtes, riz, farine et papier toilette sont vides. Devant les caisses, des files d’attente interminables, où chacun remplit son caddie comme pour un siège prolongé. Le jour même, la ruée se poursuit. Les drives des supermarchés sont saturés, obligeant certains clients à attendre plusieurs jours avant de pouvoir récupérer leur commande. Dans les villages, producteurs et commerçants s’organisent rapidement pour proposer des livraisons à domicile
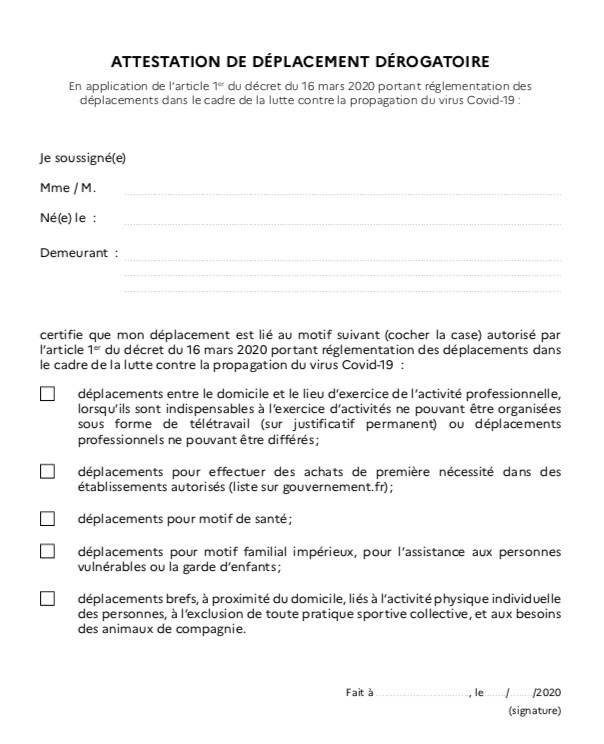
Des contrôles stricts, des rues sous surveillance
À Bastia, Ajaccio, Corte et jusqu’aux zones rurales, policiers et gendarmes s’assurent du respect des nouvelles règles. Aux ronds-points, aux entrées des villes, sur les axes principaux, les attestations sont systématiquement vérifiées. En une journée, plusieurs centaines d’amendes sont dressées. "On avait l’impression d’être en état de siège", se souvient un automobiliste verbalisé à Bastia pour absence d’attestation. Seules quelques raisons permettent de sortir : achats de première nécessité, consultations médicales, assistance à des personnes vulnérables, obligations professionnelles pour ceux dont l’activité ne peut être exercée à domicile et une heure d’exercice physique quotidienne, limitée à un rayon d’un kilomètre autour du domicile.
Dans les hôpitaux, la tension est palpable. À Ajaccio, la situation se dégrade avec un cluster détecté dans une maison de retraite. Ce 17 mars, 19 nouveaux cas sont confirmés, portant le total à 152 contaminations sur l’île, qui déplore déjà plusieurs décès. Dans les établissements hospitaliers, les équipes médicales s’attendent à une affluence croissante de patients. Les stocks de masques, de blouses et d’équipements de protection sont insuffisants, obligeant les soignants à travailler dans des conditions précaires.
Face à l’urgence, un élan de solidarité s’organise. Des entreprises et des particuliers se mobilisent pour confectionner des masques artisanaux, tandis que des collectes sont mises en place pour venir en aide aux hôpitaux. Chaque soir, à 20h, les Corses se rassemblent symboliquement à leurs fenêtres et balcons pour applaudir ceux qui luttent en première ligne contre l’épidémie.
-
La Corse touchée par le passage d'un nuage de poussières désertiques
-
Ville-di-Pietrabugno : le RCVP lance son 2e Open de la saison
-
Santa-Maria-di-Lota : trois jours entre traditions, nature et hommage à Michel Carrega
-
À Ajaccio, l'ancien ministre Renaud Dutreil défend son pacte face aux défis de la transmission d'entreprise
-
Haute-Corse : 54 jeunes sapeurs-pompiers franchissent une étape décisive











Envoyer à un ami
Version imprimable






