Corse Net Infos - Pure player corse

Coronavirus : téléchargez ici l'attestation de sortie


MV le Mardi 17 Mars 2020 à 09:08

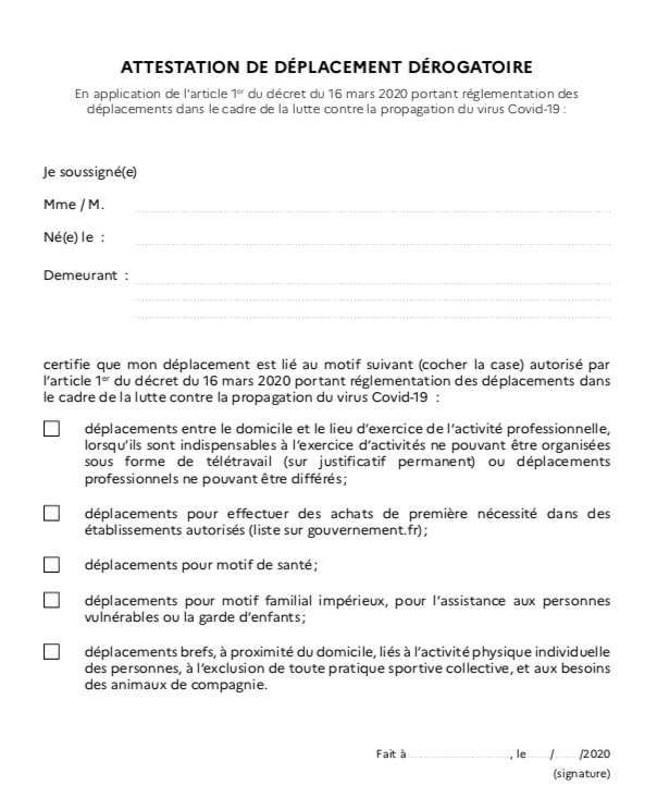
Pour limiter la propagation du virus, les déplacements sont strictement règlementés depuis. Il faut télécharger une attestation de sortie pour justifier de tout déplacement exceptionnel.

Cette attestation est disponible sur le site officiel du ministère de l'Intérieur (lien : https://www.interieur.gouv.fr/Actualites/L-actu-du-Ministere/Attestation-de-deplacement-derogatoire).

Malheureusement, le site enregistre actuellement de graves difficultés techniques – probablement en raison d’une forte affluence des français pour télécharger cette attestation.

Si vous ne pouvez pas accéder au site officiel pour télécharger l'attestation de sortie, vous pouvez retrouver une copie du document en pdf.



Retrouvez le PDF